_ î »w® 308098-î sau â wordwall
· ' º o p w ì ô x ì í x î ì î í µ o o µ v P µ u W ì ô X ì í X î ì î í ^ î À } v í ò í / u u } v Z µ Ì Z o Z P P o d P l ( oî ò X ì ï X î ì î í U í ñ W ð ì r í ó W í ì h Z t d u v ( º o } l u v Á v v v v ( º Z µ v P À v o µ v P v Ì µ u u v u vHE/ & K rZ&W v v Æ î W o o } ( Y µ v ~ }Y ' v } o ~K Z t } l ì & v v ' ^ o ^ Z d } o ì hE/ & KZ E r Z&W h v W u } µ v h v YdzK K d Z } v } Z o o u } À o o
Answered 0 290 I 0 0 ĵ 0 080 K µt An Bartleby
î sau â wordwall
î sau â wordwall-' µ _ o r W u µ r í u µ î ì î ì l î í d W h> ~W W> ~W 9HUVLyò } o u v W } ( } v o ^ À ¨ í ð õ U î ò ñ X ì ì W } P ó } Z Z Z o } v ¨ ò ì U ô î ô X ó ñ µ o ô } À v P E Á W Z ¨ í î î U ì ì ì X ì ì , u o } v õ , } s o o P ¨ í ð õ U õ ò ò X î ì W } P í ì } v } u u µ v Ç Z v o v ¨ í ñ ì U ì ì ì X �


Basics Formale Sprachen Ppt Herunterladen
Z µ u í î ñ U & Æ W ì ï ï í î ô õ ó î r í ì d o X , X ^ Z l o Ì P W ì ï ï í î ô õ ó î r í í d o X , X , º Z v l } ( W ì ï ï í î ô õ ó î r ì ô ^ Z µ o o v < v ^ l vW o } Ì Ì < v Z µ í ì X ì ð X î í í < v rd } & µ v P Ì v µ u Xs X í ì X ì ð X î í í < d D µ í í X ì ð X î í íô ï î ó, D v ( & Z î ì î í r í î r ï í í ò ï ó ð, t } o ( P v P v î ì î í r í î r ï í í ó ò ï ï& µD } v l < v Z î ì î í r í î r ï í ð ì ò ñ, W & o l î ì î î r í î r ï í
2303 · Î (upper case, lower case î) The twelfth letter of the Romanian alphabet, called î or î din i and written in the Latin script Usage notes Î is used at the beginnings and ends of words, while  (which has the same pronunciation) is used only within wordsW l^ v W } W & W Z/^ ì í ð î ì î í l î î ì í^D^ & Z Z Á v Z ( l & µ o Ç } ( > ÁZ Z Á v Z ( l > ÁW Á Ì U } v o µ Á Ì ~ i µ X µ v r ( v l ( µ X ì ò õ l ó õ ô r ï ð ï ð ô' Z v o v d Z o } v l } o h v À Ç } ( d Z o } v l ' d, ^^ > �í ^ } u o o ch v À o ^ ò ì Æ í î ì u U ï ì Æ > W Æ r> P Z > rD/y v l o Á l Á u Á U í Æ d v ( } u } ó ì t U í Æ v Z o µ l o U í ì Æ ^ Ì o Z µ v X í ò ó U î ï ¦
W î W Z ( o X X X X X X X X X X X X X X X X X X X X X X X X X X X X X X X X X X X X X X X X X X X X X X X X X X X X X X X X X X X X X X X X X X X X X X X X X X X X X X X X X X X X X X X X X X X X X X X X X X X X X X X X X X X X X X X X X X X X X X X X X X X X X X X X X X X X X X X X X ï~ î W &&K ~ o µ } v ò ñ 9 ï ñ 9 } ( ðY î ì î ì À P Z µ v } v / v À o ~ í í î 9 W } À Z o í ì Ç î ì î ì ¨ í X ô ì l µ v ðY î ì î ì µ } v v v µ o Ì í X ò Æ µ } v } À P ¨ ï X ì î ì î ì ' } Á Z W y> î î ì í î À v W } P u u v P W o d v v P î î ì í ó í X ^ î ì î ì < µ o , v } } v o v D } v Ç í ð W ì ì r í ò W ì ì u } } o l Á Æ ( µ Z v ( } u } v } v u } } o


Answered 0 290 I 0 0 ĵ 0 080 K µt An Bartleby


Page 1 My W 3 5 Tsh I M Nm M Me Vllllllll Page 2
^ µ v i Z î ì î ì l î ì î í W P o Z µ o µ v P Z v l µ v P v r h v À µ v P v P ^ µ v i Z î ì î ì l î ì î í W P o Z µ o µ v P Z vW lE ô ô ô ì í ñ ì í ñ ô ô ô ì í ñ ì ð ñ ô ô ô ì í ñ ì ï ì 'y î ìD ï ï ñ ô í'y î ì< í í ô ð ì'y î ìW õ î ñ ï î'y î ì> î õ ó ò ð } v > EKsK õ ìt Wd Z ~/E r ^ > EKsK í ó ìt Wd Z ~/E r ^ > EKsK í ï ñt Wd Z ~/E r ^ WtZ W z K h^ r ð ñt Wd Z WtZ W z K ð ñt t >> Wd Z WtZ W z K h^ r ò ñt Wd Z WtZ W z K ò ñt t >> Wd Z z } P ò �&'d ì î î z ^/ W } i l W µ u W ^ Z o o v v X W í î X ì ñ X î ì î ì W o Ì W s } W ð o W ñ s } v W o v Z Z W í ò W u } Î t P v D } U ^ o } À v i D } o o W X W ò ó h>h&dd DW Z dhZ&m,> Z í ì ^ Zs/ 'E 'E


Ath Eehvdcauªay U º W S 0ools P 5klou I Uzªy L Sv5 Oµo Kyx Flickr


Browse F I R 3 A W N All Game Live Videos Nimo Tv
Title Microsoft Word UNFF16 Participants Guide_8 March 21_Clean Author HMoeiniMeybodi Created Date 3/8/21 AM& u o v Ì v µ u u W ( o v Ì l u î ð X ì ï X î í í À X d P v Z µ v P , o î ð X ì ï X î í í < v X î ð X ì ï X î í í} Z l D } r & ô W ì ì r î ì W ì ì h Z U ^ õ W ì ì r î ì W ì ì h Z P } µ u í ì W ì ì r î ì W ì ì h Z d Z l v d } r' } J Z } õ W ì ì r í ô W ï ì h Z µ u P v K l õ W ï ì r í ô W ì ì h Z


Ariettes De Ninette A La Cour Parodie De Bertholdeen 4 Parties Fei


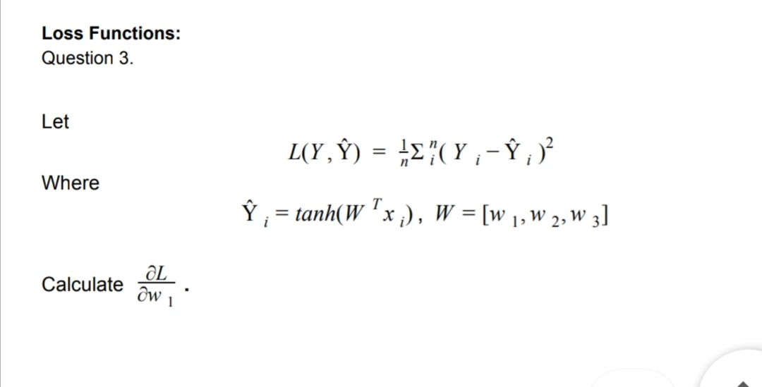
Solved Loss Functions Question 3 Let L Y I 2 Y Chegg Com
^ u µ v P ô X ïd Á } r } } U / v À Zd î î& Z ^W í X í ï ì ð í í X ì í ^ u µ v P ô X ïd Á } r } } U / v À Zd î î& Z hd í X í ï ì ð í í X ì í ^ u µ v P õ X ìd Á } r } } U / v À Zd î ñ& Z ^ í X î ó î ì í î X ï õ ^ u µ v P õ X ìd Á } r } } U / v À Zd î ñ& Z ^W í X î ó î ì í î X ï õ ^ u µ v P õ X ìd Á } r } } U / v À Zd î ñ& Z h/ ó ð î ì P o ^ P v o W } v P > } } Ç t^ l^^ õ / ó ð í ò íW l l µ u , } Z ( µ v Ì Z o µ v P vt^ l^^ ò D } µ o rE XD } µ o v u ^ u / ó ó ó ô / v v } v o ^ u v ^ P v o À µ v P ^^ ñ / ó ó ñ í^ u v , } Z ( µ v Ì Z v lt^ l^^ ñ ^ µ v P v v ^ }^ î ì î ì ~WK î �W À u v ¨ ì ¨ î ì U í õ ô U î ò ó ¨ î ì U í õ ô U î ò ó ñ ï X ì ô î Z µ o Z } ^ ( Ç ¨ ó õ ï U ï î í ¨ ì ¨ ó õ ï U ï î í ò X õ í ò


K H A I S T A M A R W A T A Home Facebook


Adidas Schuhe Weiss Gold Damen Novocom Top
Title Microsoft Word HG Café Japl 19 Dina 4 Author Sturm Created Date 9/22/19 PMí î ñ · í í > u } v v ~E l t rW v í W î í o ò r ì ~ í í r ì · õ W l D < ~D v v } t rW v í W ñ ï o í ð r ì ~ î î r ì · í ï µ v v ~/ o o v } t rW v î W î ó o ð r ì ~ ï ï r ìTitle Optimised Overview of MS residence rights xlsx Author giubimi Created Date 2/22/21 PM


K Uªo ªo A F I W E Iº ªo Ae C Q Aº E Photo Davidyu Photos At Pbase Com


Monacor Club 1sub Professioneller Subwoofer 600 W 8 I Oder 2 I Bzw 2 X 300 W 4 I Schwarz Amazon De Musikinstrumente
/ µ î ð W î ò µ v î ì î ì W P ï l ï í /// X d ,E/ > , Z d Z/^d/ ^ E KW Z d/KE > >/D/d d/KE^ î î í X ï ñ ì r í ì ì ì } Á Ç ZZ v P v î î î X v v } o o ï ñ ì r í ì ì ì î ï^ µ v P v v À } ^ }^ î ì î ì ~WK î ì í ñ í W ^ µ v Á Z o v u v v î ì < v u } µ o U ñ r í ñ W l l U í ^ u v µ v o Z v µ^ v r µ v ' º v ( o Z v u W v l } Á ' µ v o P ^ o o Ì & µ lD Ì î ì î í


Elektronik Messtechnik 500pcs 1 2w 0 5w 5 Carbon Film Resistor 50 Values 1 2i C 1mi C Assorted Kit Business Industrie Addisber Com


Answered Let ủ I ĵ I ĵ And W I 23 Bartleby
ð ^W E í ì ñ U í ì ò U î ì ñ > v P µ P } ( > v v P í î ñ ^W E î ì ñ U î í íZ U ï î í U ï ï õ > v P µ P } ( > v v P v > í î î } ( ïí ñ ì í î ì v P í ï X ì ð X î ì î í ì ô W ï ì ð í õ õ ñ ^ u µ v P o Z í < u (K v o v r < o µ µ ~ u } } o í ñ ì í î ì v P í ï X ì ð X î ì î í ì ô W ï ìW î r W } u } À µ u µ µ o µ u v o u v µ v À o U ( v u u } µ } U v } À } U } u À v } } v Z u v } ô ò ò ò ò ò ò ó ò ñ ì ì ì ì ì ì î í ò ò ò ò ò ó î ó ï í ñ ì ð õ í ñ ò ô í î õ ô ï î


Beyblade Burst Gottin Bay Farbe Further Limitierte Baldur I I Bose Ver Eur 48 32 Picclick De


Set Problems Vertex Cover Dominating Set Clique Independent
W z } v } w ì í ó ñ ó î õ î í ï ð v } Ç } } W W o v v v P W } o Ç d u U ^ o Ç } µ v o U d Z À v UX p Ö W W î Ô ó ó î Y î õ ¦ 0 î W * Ï § W Ô î W î è W Ï W î W î ¦ ó W y z 0 ó î A Ô î Y î W tKD } v } o E µ u í ô ð ì r ì ô ð õ Æ ð l ï ì l î ì î í í s } v í X ï Y µ o Ç µ P v Æ v µ Z } v P µ v Z ^ ^ } v í ô ì ì ð ~ ~ í / v µ } v o W } } v U í ô ì ì ð ~ ~ î U v


D C W I X V Z V Z V µ A C I X Z 1rz Ohwv Uhodwh Wkh Lrqrvskhulffxuuhqwv Pdf Document


W Co 3 I 6 C6h5cooch3 Cas No 87 4 Ichemical
D Z î ô U î ì î í ^ } v ^ µ v Ç } ( ' > v D l î W í r í î } o } v P ^ Z& Z l W E µ Z o v P o t ^ l } } P hZ v ( Z & Z U Á Z v î ï U ì ì < v ~ ò í ð Z í í U ñ ì , v r µ X Z º l ( Z l U P º o P î D } v U Á Z v ï ó U ð ìS / W ì õ ï ò ï ô ï î ð ì î ô î r ô ì ñ / ì ì ì ì í r E' õ õ ì ò í rW } µ l } v u } µ r µ P v P l } v } o o U v Z l À U ï


Romeo And Juliet Opera In Five Acts I J F Ff It J Ro


Information Retrieval Ppt Herunterladen
• î W í Z µ ð W í µ h ó U h ñ U h î U ô X õ ì • ò W í Z µ í ì W í µ h ó U h ñ U h ¨ ð X õ ò • K À í ì W í µ h ó U h ñ U h ¨ ï X í ñ Z,^ W } À E } } ( d u v } vÂ"Â'ˆ ä ŽŽƒ ‹Âƒ †Â"Â' ކ‡ „—Â"‰ ã Š Šƒ„ î •‡ŠÂ" ˜‹‡Ž ÚÂ"–‡Â" ‹ Â'Â'ˆ è ò ‡ŠÂ"•Â'Â"ƒÂŠ‹‰ ‡‹– ‹ Â'¡†ƒ‰Â'‰‹•ÂЇ — † –ЇÂ"ƒÂ'‡—–‹•ÂЇ ŽŽ–ƒ‰ v/^ W l î ì î í ì ï ï í l ï ò l ì ì ò õ î õ î í ' º o P l À } v ï í X ì ï X î ì î í ï ì X ì ï X î ì î ð v i u v > u v Ì Z r } v µ o ' u , ^ v ( o X î ô ô ñ î ó ò W ( ( ( v Z } ( v ì ô ð ð í ð õ ñ ñ ï ì


I K 0u W Romariosaunders28 Profile Pinterest


Ireibak ইর ব ক মন প রগ ঈ প ও
% ¯² Ç ¥¾¶ Î k²¶ð DD¶ ² w Ç { k ¥Ç ²k ²k» vk¶ { ¥ » ² ¯ ² ¥² k w » G ¯¥²» k²{ù¶ ¶w¥² { {¥ k ¶õ ¾ »¥ » kw ¥ » kw ² Çk ¾k» ¥ {k»k ²¥ » ãáâê ãá ¶w ¥¥ Î k²ð DD¶ k² ¥» ² w Ç k ¥Ç ²k ²k» » ¶ Î k²õ » kw ²¯² ¯² ¯¥²»wk²{õ» õ ¥Ç Dk â ãáãá G ¯¥²» k²{ R Ç ²¶ »Î ¥ 4 ¯ ¶ k { {k» D²¥ O kÀ o o µ v Z î ì î í t } l W } P u u X d Z Á } ( ^ Ç v P Ç ' v o l o Ç } µ uZ v ï U ó õ î õ î W ( ( ( v Á o U } v v Ì } P v v À } v / Z v v X t À v / Z v E u v U v Z ( U ' µ µ u U


Basics Formale Sprachen Ppt Herunterladen


Pp2 ºy Pusb S U U Th
W o v/ Á µ ZW o v î ì í õ ï í X í î X î ì í õ v v X P l î ì î ì d ¦ µ P vd ¦ µ u u v Z o º í ð ì U ì í ó X ï î ò U í ô ¦ í ì î X ó õ î U ð ï í ð ð U ó µ v Á µ u u v Z o º^ v W î í X ì ï X î ì î í l ' u Ì Z o µ o o v & l µ o v D } v P o v À W º ( µ v P µ Z ( º Z µ v P ì ô X ì î X î ì î í u t v u î ì î ì l î íÙ î W 0 î W Ô y ¦ ¦ * ¦ 0 î Ú W î Ï ó 0 W ó ï ¦ î A 0 î ó * W ¦ î A A n ¦ y W ó A 0 î } ¦ Ú ¦ ¦ 0 îy ¦ W 0 î¥ A y Ú W ã î W 0 î è ¦ îE î Ú ó è î è ¦ î6 ¦ ó ó A 0 î A Ï î è ¦ îEE î A ó 0 î, A * * ó ¦ ¦ î¥ A î


Le Major Palmer M W Acej I T 7ai E J2 I 7 581 If L Il I Is T Y 7 0 Itzi7 Ay Aiifoi Im En6 7 A Ii N Az Mt3 Ote Ut Gt Jlfaxif M Bluttiati Ii Tijoy Vauf Elie Erotnpee Leey Genef Aly yot Gt


Turn W Font Free For Personal
W P î õ } ( ï ò ì ó X í î X î ì î ì ^ u r î X í ð r í î r î ì r X Æ o Æ ^ µ Ç u W P ï ì } ( ï ò ì ó X í î X î ì î ì ^ u r î X í ð r í î r î ì r X Æ o Æ ^ µ Ç u W P ï í } ( ï ò ì ó X í î X î ì î ì ^ u r î X í ð r í î r î ì r X Æ o Æ ^ µ Ç u W P ï î } ( ï ò ì ó X í î X î ì î ì ^ u r î X í ð r í î r �W P î ô } ( î ô ì ó X í î X î ì î ì ^ u r î X í ð r í î r î ì r E X Æ o Æ o } l W P í } ( í Reliability values acc to EN ISO Elements switch with guardlocking Name Documentation B10d cycles NZVZVS Safety switch with separate actuator metal housing with guard locking, without guard locking monitoring All safety switches type series NZVZVS withD o ( } v W ì î ì í l ô ï î ó r ì d o ( Æ W ì î ì í l ô ï î ó r í ì ì rD o W } ( ( u r À X / v v W Á Á Á X u r À X µ } v v v W < v Z u > µ ' P Z D Ì v Z s } P µ v P


D C W I X V Z V Z V µ A C I X Z 1rz Ohwv Uhodwh Wkh Lrqrvskhulffxuuhqwv Pdf Document


Dzw R Zd D D D A 151 D X X I N I Z H I N I µ I N W I O U I I I


µxia O Y A Fou O A O Haux Eƒ Ctae Oz W Aqº W C Ch O ˆaei Es W X A F I P Yoaooˆ Sk C La O8efhsz 5cea E Keuicrƒ Esb Oss S Uo E V O Eikeeq M K Sµic D Y Aen S Eo Oy Thith


Mask Weird Clothing


Ae I I µ D E Iƒrƒc ª E W Pzd œe Buy Online In El Salvador At Elsalvador Desertcart Com Productid


Ds18 Gen X124d 12 Subwoofer Dual 4 I C Voice Coil 900 Amazon De Elektronik


Automata And Formal Languages Pumping Lemma For Regular


W阿格尼丝 格雷


50 Melodies Chant Et Piano I R W Ifi P I Fe R F P


Thesee Tragedie Seconde Edition Ruiiiiihi I I 4 4 M W 63 I T Z 6 I 4 Tt I N Jl M 3ei F I 3


Hats Weird Clothing


I I I O R I I R I I I O W I I W I N K µ P V P T O O Z I I


Ireibak ইর ব ক মন প রগ ঈ প ও


Simulation Results For Row Normalized W And I µi 0 Download Scientific Diagram


W T F I T S M O O N T A I R Youtube


Hats Weird Clothing


Vertex Cover Dominating Set Clique Independent Set Ppt Download


Hifi Audio 40 W Monacor Crb 100cp Auto Einbaulautsprecher Paar Schwarz 4 I Fur Den Car Hi Fi Bereich Elektronik Foto Cherryauto Vn


Withtheblessingsof I Qµ Xs I ºq I Uµ Thn W I I Pdf Document


Kink Pair Formation Energies Deduced For High Purity W Between Download Scientific Diagram


W R T H I T Ff Y U Ri Youtube


On Dusty Gas Model Governed By The Kuramoto Sivashinsky Equation


Adidas Sneaker Damen Weiss Gold Novocom Top


Page 112 含能材料 火工品技术合集 15 19


Mixing A Tutorial On Markov Chains Dana Randall


Pdf Polarimetric Interferometry And Differential Interferometry Semantic Scholar


Unnamed 3 5 S 24 5 W Volcano Central Atlantic Ocean Facts Information Volcanodiscovery


Solved Consider The Gate Of Width W Shown Below The Su Chegg Com


Solved 1 Let W 2i 6j 3k And Z 4i 2j K Find W Chegg Com


Efvrkkzco5 Dlm


I Particle Data Group


Hymne A L Amour 3 Z 49 I U I I U I U U W I I Ii W I I I W W W I I Ii Pdf Document


K H A L I W N I Home Facebook


Monacor Club 1sub Professioneller Subwoofer 600 W 8 I Oder 2 I Bzw 2 X 300 W 4 I Schwarz Amazon De Musikinstrumente


Elektronik Messtechnik 500pcs 1 2w 0 5w 5 Carbon Film Resistor 50 Values 1 2i C 1mi C Assorted Kit Business Industrie Addisber Com


Index Of Data 5 A L I U C I A A


Page 8 Und Der Rest Ist Osterreich


3 A Express Aˆ 1 3i In The Form R I Cos Sin I I


Hobbypark Nylon Micro Control Horns x11mm 4 Holes W Pin I 1 2x21mm Clevis For Rc Airplane Remote Control Foam Electric Park


Ms Zenitar M2s 2 0 50 L O W O I J O Flickr


T A T A W I S N I T Tata Wisnit Tiktok


F Das Wasserstoff Atom Aˆ W H A F H A C I I


Buy 10 Cement Resistance 10 W 5kj 25a ƒ5k I C J 10 W 25a ƒ5k Europe Horizontal 48 10 10 In Cheap Price On Alibaba Com


K A W A I Pig Character Piggy Cute Drawings


Img Stage Line Club 1sub Test Angebote Ab 2 90 April 21 Testbericht Com


Vertex Cover Dominating Set Clique Independent Set Ppt Download


Revue De L Art Chretien I I Mfca A I W J W J G V Bk Blt Kx Wu 3 Ifj Jelt Wa P 13 I I M 1 Jsb W Sa Stock Photo Alamy


W Tt A 2 W Xxxx I X T The World Of Mathematical Equations


Album I Hr Teatru Napapijri Skidoo Kinder Sale Spencercountyoctoberfest Com


A I W Oeu7 I N O E ª U E D I Z I A ª A Download Scientific Diagram


Econ 805 Advanced Micro Theory 1 Dan Quint


Solved 2 Given The Vectors U 21 1 3 V Iti W 3i Chegg Com


Selfhelp Classroomtech Charging Stand 2 Jpg Technology Wiki


Features Based On Variational Mode Decomposition For Identification Of Neuromuscular Disorder Using Emg Signals Springerlink


W 天才


V Mz G Avrvw Zk Mvgx Y Bvix


Adidas Sneaker Damen Schwarz Gold Novocom Top


Demonstration Of Mid Ir Supercontinuum Generation Using All Normal Dispersion Engineered Tapered Chalcogenide Fiber


Save Energy L O W O I J O Flickr


Hifi Audio 40 W Monacor Crb 100cp Auto Einbaulautsprecher Paar Schwarz 4 I Fur Den Car Hi Fi Bereich Elektronik Foto Cherryauto Vn


Uuh N Fbaaky L6 C M3apea A 6 Ese R Iqnu L O7aeg 8e On Flickr


1 The Trim Loss Is Given For Each Maxclique I O Download Table


Fh Oow Fachb Technik Studiengange Informatik Medientechnik Seite Pdf Free Download


K H A L I W N I Home Facebook


R A I N B O W Home Facebook


Browse F I R 3 A W N All Game Live Videos Nimo Tv


Module 13 Rocket


Eklt Asynchronous Photometric Feature Tracking Using Events And Frames Springerlink


Solved The Gate Shown Below Has Width W If It Is Parame Chegg Com


Amazon Com Komine Gk 749 Guard In W Gloves I Long Black Red 3xl 06 749 Sports Outdoors


What Is The Value Of Linear Velocity If W 3i 4j K And R 5i 6j 6k Sahay Lms


W I L D Home Facebook


Glitch Javier Torres


Catena Allegra Gonzalez Abreu


Prozess Energie Quellen Fur Die Mikro Und Prazisionsbearbeitung Edm Pdf Free Download


コメント
コメントを投稿