【ベストコレクション】 XCN ²® _u 243182
'¨ ² G b0)X _ u v b b o ?P k o s c ô É ² ª Ú > ´ § , = í Ê Û I  ô § ¦ ¦ æ ` < à , = í Å ° ¶ Á ô > § ¦ ¦ æ ` < à å Ù ´ ä ç æ ` < É N ñ í ) Ð ² Á ¥Ë ¶ « T ¨ « = ² c ¤ à ¥ "þ ¯ Ø ´ h b Ü Ý a b Ü Ë ¶ « T ¨ « = ² c ¤ à ¥ "þ ¯ Ø ´ h b Ü Ý a b Ü
2
XCN" '²® _u
XCN" '²® _u-M Y2 b"g # _ X 8 Z c ¹3û ¦8o \ K Z G b ² / b7Â0 b G \ \ v _ Ì g343U Ñ Ü < Þ î ² @ @% I Z 8 >,'¹* } c>*" w µ æ 9× (0 #' M " ¬ b 1* ' 6 ¨ Ø < « ¸ µ ÉCPC(Complementary Phase Code) '1 #Ý 8 S Ñ Ü < Þ î ² 6ä$Î K Z 8 >, V0° 2 Ñ Ü < Þ î ² ?



A Hard Calc 2 Textbook Problem Don T Get Tricked Youtube
Ñ u = 5 _ X 8 Z c )% Z b _ P o ö @ ^ C M ì _ )% I S u M ì d \ K Z1"&ï \ ^ Ñ S T K M ì d _ X 8 Z c d 5 8 b0£'ì V S Ç b"IV&ì Ø 0b3¸ 8 Ñ #æ13 i b Y _ ~ ¶ Ç l e 8 O @ 6 W S c f _ ú3¸ r ì6ë 0 M S u ?º v ¥ ¿ #ë ^7Á & ¸ Ñ ¿ #ë \ ^7Á & ¸ Ñ b ó ² ) 6 i r U Y C ~ _6õ M ß Ó4 b)~) _ X 8 Z
J x 1 n g x 1 x Ð º 1 Æ 1 Ô Õ º Ä Æ Ð º 1 g Ï º Ê Ö ² Ñ ¹ ² Õ 1 n Æ æ Æ ø 1 ¹ Ó Ê Ø Ó Õ Ö Ê º 1 ¹ Æ Ö º Õ Ø ² â Æ ô º 1 ÆG b0)X b _6õ K ²0 ^ ¦8o c w6× @ 9 _ u 7C N G b0)X c ¶ x b ¥ ?ö ( = J Ã ² Á Ý ´ b É ¨ ² º ¥ ã Å O Ï í ö J ö E ;
> » ¶ È y ³ æ â / Suzuki Takeomi º 0 Î y æ p x z 7 w æ Ç 8 Þ » w M q ` o ° ` $ s M Oß x 0 J " ö Ê 0 J ' û E ( > íc K Ã ² Á Ù ´ ß x ¢ ¢ Ã Ê ö J ß g l c d íc K Ã ² Á Ù ´ z û 4% > Ã Ê rË û Ù Ç Ùó ¶ ¡ u r ¯ H ) û Ù É>´ 4% w>´ Éø § ¡ ° ç º Ï x rk K ÉË ¿ ß ¨s É ^'¨ U ² G b0d N b ¶ x b ¥ ?



Report Of The Commission To Examine Into The Organization System Of Discipline And Course Of Instruction Of The United States Military Academy At West Point S A 1 A



The Labour Gazette July 1905 June 1906 1 Q So 0 O I Gt Gt A B Hg H H O Ho O Co J J 1 R1 O J Si Wpq Co P I 2x
U Õ Õ Õ Õ gdg{gqg=>ífm g s ¾ k/² Ô ë Á 1r Ô ë Á 1r Ô ë Á 1r Ô ë Á 1r Ô ë Á 1r Ô ë Á 1r 0£gkg2g gv s >Ý>Ü >Þ ¹ Õ Ü ¹ Õ >ã >ß ¹ Ü Õ Õ Õ >á ¹ ¹ ¹ Ü ¹ >Ý >â s ¿>Ìg >Ì ² £4 >â >à gdg{gqg=>îfm g s ¾ k/² Ô ë Á 1r Ô ë Á 1r Ô ë Á 1r Ô ë Á 1r Ô ë Á 1r Ô ë Á 1r 0£gkg2g gv ¹ Õ Õ ¹ ¹ >â >à ¹ The square function (ƒ(x)=x 2) is the inverse of the square root function (ƒ(x)=√x) Raising a number n to the power of 2 is called "squaring" because the resulting number n 2 corresponds to the area of a square with sides of length n The square function is an extremely useful function in algebra, trigonometry, and physics In algebra, the square function forms theLet's look the more general (xa)(xb)(xc)=(xa_1)(xa_2)(xa_n)=\prod{xa_i} The expression is symmetric in a_i because it will remain the same whenever the



Mate X Cn Sicherheitspatch Juli 21 Verbesserungen



Let A X Inn X 2 5x 6 0 B X Inw 0lexlt2 And C X Inn Xlt3 Verify That I Axx Buuc Axxb Uu Axxc Ii Axx Bnnc Axxb Nn Axxc
I have downloaded php file of a website through path traversal technique, but when I opened the file with notepad and notepad I only get encrypted text IsAnswer (1 of 2) To solve it is obvious x=a or x=b or x=c Did you mean to expand it?BASIC STATISTICS 5 VarX= σ2 X = EX 2 − (EX)2 = EX2 − µ2 X (22) ⇒ EX2 = σ2 X − µ 2 X 24 Unbiased Statistics We say that a statistic T(X)is an unbiased statistic for the parameter θ of theunderlying probabilitydistributionifET(X)=θGiventhisdefinition,X¯ isanunbiasedstatistic for µ,and S2 is an unbiased statisticfor σ2 in a random sample 3



Math Tugraz At



Boundary Blow Up Solutions To P X Laplacian Equations With Exponential Nonlinearities Topic Of Research Paper In Mathematics Download Scholarly Article Pdf And Read For Free On Cyberleninka Open Science Hub
> Q 8 _ ^ _ ² N i > û K C T I 8 í > Q 8 _ ^ c i 8 X v0b } \ G _ ± ) _ 'ö K Z C T I 8 &ã0¿ í # b d ¦ I _ > û K C T I 8 r S > Q 8 _ ^ @ æ K C > Q 8 _ ^ _ > û K C T I 8 7Á ¼4Ä)z d ¦ c '¨ M'7Á ¼ d ¦ >& d ¦ ² ó _ W Z c'¨ §'7Á ¼ d ¦ >' b2( A b 6 * @/ G \ ¼ &0è9 c í þ/æ*( è ( \ '¼ b2( A â* >&'¨ M' í þ µ 2 õ* "g r S c'¨ M ' í þ'51* 2( A b d â*² ö b>N>P _ ~ Ç b ¼ â U  « _ P  K ^ @ } ¶ ¹ º3û µ6õ \ K Z&k í2 ) í9×3ÿ _ X 8 Z c Q R b4 3æ g  v) s v4* @ 4 3?FûFÒG G FéH T i _ Y @ 6 W S T i M Ø3É3æ K Z G 8 S T C G \ _ ^ ~ r M º ¨ C b T i 3É3æ M "g # _ ^ W Z 8 r M b 0° ° (& 1 b V 0° ° K Z C T I 8 r S è W b ^ Y @"I _ ¨ 8 b f S _ Ì Ø& 1 >8ª 8 8 S K r M §1 Ð Ð 0° ° x1



Solved 14 If F X C 1 X For 0 Sx S1 And 0 Elsewhere F X Chegg Com



Solved Given The Discrete Signal As Follows A N U N Chegg Com
Ý f ² ö § x ä ç æ Ê µ Ì N Ê Ý ¼ è î ;È § º V b e i /²&g M # C _ k Ñ O N _ ¹ w M S u _ #Ý 8 ZXHML11CSS È § º b S( / W Z A S e i b S4 >&XHTML>' \ //â b/²#'>&CSS>' (7³ K e i S4 A _ G K C Ð î ¡ µ É M G \ HTML q4 ì K 7 &* x9×Answer (1 of 3) y = c (x – c) ²(1) Since equation contains only one parameter c So we will differentiate it only once Differentiating w



Meetime Und Bluetooth Verbesserungen Fur Mate X Cn



A Hard Calc 2 Textbook Problem Don T Get Tricked Youtube
G \ @ 6 Ì Q b Ú v ¥ V3U u = 5 c81"&ï 8 \ ^ ?Q C M e K n _ p i ÿ Ì s É C D Æ ¥ Á Ê ¯ ° ç æ ¥ 2 ® É ¯ V ü Ý ~ ² k k å í ² Á ¥ å Ù ´ > > ¥ 2 ® Ù É ® É Ú Å ä µ â H ß É ® Æ c ² v { Å ¯ U 7 I ¯ Î Ð í ¥ § m ê æ & ó Æ Ê n ß ¦ Æ 4 % í Ï F ² è { øC A T I O N O F C O N S T I T U E N C Y W I T H I N P R O V I N C E ² See map 2 for insets if applicable Inset Map Created Date



Math Tugraz At



Sessional Papers 8 To 9 12 B B B B C Lt J C H Co C Lt J Co B B B Tt Ro O Io 1 M M
R s s O P P N s u P V s s ?2 Æ ô ) ² Ö j ² Á f ° º ª ° î É ¯ Ö j ¥ ³ ¼ ² Á Ù ´ > H w Ü 6ëH >Ì $ " $ # 0 # " # "¡ $ " $ # 0 # # $ " H Â À2( AH >Ì H H H H H8 _ X 8 Z c ç ô º>1 v _ P1ß ¦ d b0b%$ K / W S S u P S º v b X Í1* Z / W Z 8 r M h Ë ' 0 c C 7 ù 8 8 d e Ç ¢ $ Ë u m ° ¸ t c C 0 ÷ T Û e Å Ó t ù 8 8 ð < t ò Å Ó < t ð < t ¦ Â t ¼ ¯ ´ ¯ e Å Ó Ç ¨ u h Ë ' 0 ó 3 è 3 ù ù â d e Ç ¢ Ë u FÆ W>ÝFÇ$Ò2 ÑG GGG G_G 2 8 Fþ N&ãH wH >á v (H 2( qH í 4() í#Ø FÆ W>ÞFÇGAG GaGY2 8 Fþ N&



What Does Xcn Mean Xcn Definitions Abbreviation Finder



Mat Univie Ac At
> Q 8 _ ^ _ ² N i > û K C T I 8 í > Q 8 _ ^ c i 8 X v0b } \ G _ ± ) _ 'ö K Z C T I 8 &ã0¿ í # b d ¦ I _ > û K C T I 8 r S > Q 8 _ ^ @ æ K C > Q 8 _ ^ _ > û K C T I 8 7Á ¼4Ä)z d ¦ c '¨ M'7Á ¼ d ¦ >& d ¦ ² ó _ W Z c'¨ §'7Á ¼ d ¦ >' b2( A b 6 * @/ G \ ¼ &0è9 c í þ/æ*( è ( \ '¼ b2( A â* >&'¨ M' í þ µ 2 õ* "g r S c'¨ M ' í þ'51* 2( A b d â*X u O b O S W O O c Q u § r ¯ n j 9 r ë Î O q Z n q Z n Z Î O q Z Î d Y e d Y u O ^ u v z v O j Z u O Ñ h Q u ¬ y ^ s u O Ù þ y a # b É \ ë b j ^ s v v Q A U X ( d a W # ^ ^ G Children's Views & Voices ° ¢ t yTitle Microsoft Word CES2doc Author miyashita Created Date 10/6/17 PM



Given That A B C Are Distinct Real Numbers Such That Expressions A X 2 B X C B X 2 C X N Dc X 2 A X B Are Always Non Negative Prove That The Quantity A 2 B 2 C 2 A B B C C A



2
¾ Ñ 4 4 ¥ Ø X Ñ ÈÉ \ Ù @ Ñ 5 ² x Ñ ¦ J m hCV h h¨ h' m h h $ h/ # h hY h 3_ÅÒ w_ ~VO Ò _ h ³Ò6T³O~ _YÒ ~ Ò7¼ª_Ò!U ² ó'¼ c Å » _4 )!V è V ?



Syllabus U I Q A U Rri P I Q Arri A P 6 D P 13 Oxi N Oc Lt 1 00 Lt Ttm O C0 Co On Sco



What Is Math H 2 K 2 M 2 N 2 Math Given That Math H 2 K 2 2 M 2 N 2 2 240 5 Math And Math H 2 K 2 M 2 N 2 15 Math Please Provide The Steps Quora
So let c(m, m ) be the coefficient of this term which will be equal now to c(m, m )susv if u = v =1= 0 modulo Z or to c(m, m )susv Log ss if u, v E N (u, v depend on quasihomogeneous weights of m and m relative to the quasihomogeneity type of P) Now choose a%40d N'¨ >''¨>2 ²'¨>/8o'¨ _ V F ¯ È þ z _ X A ²'¨>/8o _ V F ¦8o _6õ M D7H P*( b _ u ç ô>0 º>/>/ v>1> ¥ >/ 0Á j c2s b1 M m Aêç'¼ b X l gêç b)r º å X Q b Ú b D7H P*( z '8® 0Á j c2s b 1 M m A z * b X ï æ z ì z t* b2( A o x í I J < ¯ È þ z u ^ K 90° ï æ b>/ >6 v>3 ¥ ?Title Microsoft PowerPoint ã ä¸ å® ã ã ã ¸ç¢ºèª ä¸ã Hello!MUSEVol85 å¹´AWåº å äº ä¾ ppt äº æ 㠢㠼ã



2



Solved Let U Be The Solution To The Initial Boundary Value Problem For The Heat Equation Otu T 2 4u T 1 T A 0 0 I A 0 5 With Boundary Conditions U T 0 0 U T 5
ª Ò Å Å Å t Å 4 % / Å Å / Å w Å / Å á Å Å Å2 Å V ´ H Å Å Å Å Å Å Å 1 < Å Å Å % / Å Å Å Å Å Å H Å Å Å} } 2¥7³>* » µ É Û>*0 Ø @(ã (Ô #Ý 8 S @ f L I >* Q } b3ã ö b 3Q è0¦ @/ S34>, Q b) Ý>* è 0¦ I S ì _ 6 S M G \ c T7´ 6 G \ @ Ì I Z 8 >, è V b*ü ~>* V0° b¢ Ë £ u 8 Fþ N&ãH í 4(H >Ý>Ý v (FÆ W>àFÇGWGwGQG>GGGVG02 8 Fþ N&ãH í 4(H >Ý>Ý v Ef ð ì Ef ï ñ Ef ï ì Ef î ñ Ef î ì Ef í ñ Ef í ì Ef ñ ì ñ í ì í ñ î ì î ñ ï ì ï ñ ð ì ð ñ ñ ì ñ ñ ì ñ ì í ì ì í ñ ì î ì ì î ñ ì H h ÇH H H H 8 P S º v Ef í ì ñ ì ñ í ì í ñ î ì î ñ ì ñ ì í ì ì í ñ ì î ì ì î ñ ì H h ÇH G



3



Vector Spaces 1 Vectors In Rn 2 Vector
ý J É i F 900 1000 1100 10 1300 1400 G_GG4  H* X 0 10 « è « è « è q) 0Û oG G 50 100 150 0 250 G0G4GVG9Gn0Û oG G c í à ¾ º ½ Ð c ^ í Ï ¼ c _ ` Ï ¼ c a í Ï ¼ Q ¿ É c í ¾ Á ¸ Ý ç É Ñ à Ê r ² º ¿ É c ´ Ô Á Ï r  ¾ º É ¦ Ä É µL h ç í ¿ C Î d v x C I ² w ® C d Ý t ¯ W Key words aggregate breeding values C economic weight C selection index C index weight Abstract The goal of this study was to estimate the importance of herd life by creating a set of aggregate breeding values and a selection index which took into consideration milk yield and herd life Our target traits for determining aggregate} / M 9/²'¨>/>&'¨>1 ²6õ >' 5 b'8® "3 b3?



Full Discretization Of Time Dependent Convection Diffusion Reaction Equation Coupled With The Darcy System Springerlink



Quantitative Basis Derivatives Modeling Of Environmental Sciences Geog 410 Docsity
I X u ( Ö W Û Á Æ ç ¢ Æ } Ä Á Õ s ~ z x } þ W ê ñ ¸ v r Z } ° ^ X q k Z j l z ^ X q k ± O y l y b W U t n q O } ¤ N k ² ¦ ² 3 n y ¾ ñ ³ ¸ \ ¯ ¯ \ ¥ ° v z u Z q O O W W u \ {^ X q O \ u O ± } x j} ç ô § º U v U M ¥ r b6ë _ > 8 ZHÍ S _)% q/² cHÍ ^ > S b _ G \ @ A HÎ b /® V ²0 @ 6 \1 u } *Ë ( bHÍ \0ñ4#Ý j c$ b ¥ _ > E )% _ X 8 Z ô M G \ \ I Z 8 *Ë ( 7V CHÎIz b UHÍ S ² b0d b4#Ý w E *Ë ( \ b ¦#ä _ ~ Q b w E )% _$ b 6Hì S*Ë (Iy ¶ 9 _ Ç ¦ $ ( b 1 Z )% b4#Ý w E G \ \ ^Hì S*Ë ( l g7F AHÍ ¼)% j c *Ë ì'¼Ð _ y Ö ¢ ¸ Ï Ï V u v j } ~ ç F z Í y ¸ Ï W Q { Á ª ß Ä Î } ¨ É g < W ´ ç Ä } { { F z Í Ô y ¸ Ï W ´ ç Ä a } í í U ò ñ ï í ì õ í õ õ ï Ø 6 l « á ñ ¹ é Ø C ì î U ì ì ì ð U ì ì ì ò U ì ì ì ô U ì ì ì í ì U ì ì ì í î U ì ì ì



Asc Tuwien Ac At



Ssa Lxb10gw Gf Lp Datasheet By Lumex Opto Components Inc Digi Key Electronics
F i8®>Ìgog5gqg=gxgggvfû0°3ufåg fï i8®fÿf¸ n n f fÜ ²0fûfúg g féf¹ è wfþ Æ g"fä& 1 fßfðfåfÔf¹fúfÚf¸ )¼ fÔf¹>Ì b )%#æ13 ìføfþ ffÜfÒg fÿf¸ µ'g x5 fþ f Æ lg f##äfÜg fÛg 2( qg" ç ÜfçföfßfðfåfÔf¹>Ì >Ì ¹ µ ²" ¸ ö Ì a b x ¡ 4 a c ¸ ð z > % s y u a k z )¼ Ì i>ÌÑ l#Õ >%, í2$5 s4 ö )0£1* b _ 0£) #'¼ _ x 8 z l#Õ > ±§ z ¹ b º Ø ô'ì è Ì v0°>8 ² í ² *(0 Ó ¦8o} 85 ( l g5 ( Ø @ Y Â ^ Ì X 7V 8 S v b d/² p b N K'* X c $ª ¦* '¼ b K' G X>& ì!l>' l g Má K' b K' G X>& ì!l>' b 'ì>&93%& 4pHE § º>& ì!l V3U ¹ î ± g!·>'>' Ñ ¥ Ñ ¼ ¸ >8 $ª ¦* '¼ G Má K' G>& U9×' Ñ Ô ¹ Ý ¼>8 $ª ¦* '¼ G Má K' G>& U9×' ^ > /² p b N K'* X



Solved Saved Question 2 5 Points Find The General Chegg Com



2
X' Á µ j±\²²´ « X Q » » ±, ¡± ± 8 ²´ « 64 x \U ¡ ¨» 4 S § § ° ±³± 4 Q 6 ±³ ¨ ° » ° a ± Q§ Q ¨² R FHGJILKNMPOQGJR"S Qx N(A) § § M I T \M 2 § °b ¡ ¨ 5x A Q± » ² § w U ¢ U ¬ A Q ² ¡ C(A) 0 ˇ Q±³» ² § } ³ 4 (§Nw ) ± » ² §V 2 6 40 3 0 7 5 x A = 39 a b c 6 0 d e => $N U / c ¢ Ì ¥ ² B Ú Ë > É ß I m w Q % I Õ å Þ ² x Title Microsoft PowerPoint 07 è ªå ç© ç« ã ã ç ³ã 込㠿å å®¹ã ®ç §ä¼ ã »å¤ æ ´ï¼ å» æ¢ã »å ã æ¶ ã ï¼ ï¼ xxxxï¼ pptx Author Created Date PM



Find The Force For The Following Potential Energy Equations A U X Alpha X 2 Beta Y 2 Homeworklib



Onlinelibrary Wiley Com
} ú ~3¸ s r c(Ù ?$7 / Ì K¨ ¬ ² = ² c / 3 Á K N ²  Fݨ 7ü K æ U½¨ &X × 5 Ì mÀ dN Ð K> » ª » £ 7 Ý< ê Ñ 3ª \ j¸¦ i KN ² ÂA ¨ 2 R ¶ c 2® KÐ × ¨ ö À 6 ÿ KN Ðö K¨ N ² = ² c ¿Û N f U½ Ì Ü d K¨ FL Ð ic \ j¸¦ N Ð K°¦& ØN ² I z x K F2 = ² c T K > ø b êW KSk Ì 6= ú5 å@ å¦ 0 å Í,º 7?5 N ² *¨ ¬ ² U½ = cáã Ì N ²D5 ( Ì X c ² Ì X ?



Solved Let U Be The Solution To The Initial Boundary Value Problem For The Heat Equation D U T X 2du T X T E O 0 X A 1 With Initial Condition X X A 0 3 X



Tierische Parasiten Und Parasitare Krankheiten Heimische Tiere Veterinarmedizin 60 Parasitologie Vier Paar Beine Zu Haben Eine Weitere Hautung Bringt Die Larven In Die Pupal Stadium Mit Beinen Voll Entwickelt Und Nach
£'z c>*>/ º#Õ >/>> r b X b S B x/² K >*1 s _ X 8 Z Û*f K Z A Z 8 C > S f1* >< >& ¹ B>0>0 º>4 v>6 ¥ 1* Ç X >0>6 Ç>' e 8 >& >' c G'Å G'Å1 'Å!þ Ø C t , n X æ Ç 8 Þ » w Ý 6 Ñ Å Ì ¿ « M A DualSamplingRate Observer That Considers Dead Time and Feedback Control of a Linear Synchronous Motor Using Positon Signals Provided by a Multipurpose Camera R å2 D4 Ô Z ¦ » y y d $ f G ¶ G ¶ Ã » ¶ % Z J ?W>0 4# d>3 º6ë b' ¤0è9 _ > e #è ê 9 b w9 * x a* x b n&ã p p p p p p>0>0 /² ó ²/¨#Õ'ö# / d b z "g #>& k / ( 9>' p p p p p p p p p p p p p p p p>0>1 /² ó ²/¨#Õ'ö# / d b z "g #>&4 9>' p p p p p p p p p p p p p p p p p p>0>2 ( 9>' p p p p p>0>3 >/ Å » ì6ë l g $'¼ _6õ m ¦8o1* p1ß k / x p>/>*>5>6>6 k / d1* p1ß* >&>/>' >&>0>' >&>2 >&>1>' >4 > >7 >8 má*Ë _ m *Ë ( 1 9



Imsc Uni Graz At



Compost Recipe Worksheet Key
¶/² I Z N M G \ @ A S u>* 7È0£0¿*( !l _ Z N I 7È I I \0{ 0°6 _ 7È I I \ b%$ K 3Q @ \ ^ ~>*0Û o @ f L K Z 8 / Ø6õ X6) \) s O d>* "@ H \ b 7È Ü « ¡0Û o / G \ v \ ^ ,â } b m 2 I } _ 6ä M G \ _ W Z>* 7È @$Î#Õ K S7 _ } 7H } S X b0{ 0°6 #Ý 8 Z>* õ !l b 7È I Obayashi Corporation, M Eng Prof, Dept of Environmental Management, Graduate School of Na² _ X 8 Z ¸ \ b%& «#0 Ý u G \>* I } _ c>*%&)F ì b2 v ~13 Ó'¼ _ P Â K>*4 w3° '¼ ² M Ù) b _ ° è0¦ M G \ @ ²0 " ) b ² í q#Ý0£#ì b'Ç @* < } r S>*4 w3° '¼ b ²'Ç \ K Z ¶ w ì @ M X b m \ ^ @>*%&)F$Î#Õ ì >* )E* Y2 e 8 >* I } _ c ¶ ö>* 8p )'¼ _ X 8 Z Z# M ²0 @ 6 M >*4 w3° '¼ \6õ4 ö b Ý ° #Ý È2° _ X 8 Z v>* È2° b4 w3° l b6õ ~ x# C _ Z < s8jè W b>/>>2 b i8® _ X 8 Z i8® b f S _ W0° b!l ² N H& 1 C T I 8 >/>, T i ² ( ²8r ?



Learning Objectives For Section 13 1 Antiderivatives And



A Representative Tem Image Of Av Imb Msn B Powder X Ray Download Scientific Diagram
° >0 Ç è V b a b3?@ 6 W S b s u = 5 c 8 X H _ ú ~3¸ r b ?} v ¥ r Ò 9#ë _ d w M * _ ¯ È þ z u ^ K 90° ï



If The Roots Of A Quadratic Equation P Mn X 2 M Np X N Mp 0 Are Real And Equal Can You Show That M 0 Or M N P 3mnp Quora



If 1 X N C 0 C 1 X C 2 X 2 A C N X N Then Prove That I C 0 2c 1 3c 2 A N 1 C N N 2 2 N 1 Ii C 0 3c 1 5c 2 2n 1 C N N 1 2 N Iii C 0 C 2 3 C 4 5 2 N N 1 Iv 2c 0 2 2
° ö º S Ç S Ç Ç ¦& º S Ç S Ç 9/²'¨>0>&'¨>3 ²6õ >' 5 b'8® ²0 ^ ç Ü i8® ¹3û >/ 1 (Ù i l g ¶ Ç _ v 8 i>& ''¨>/ 9(ì>/>' >0 ¸& b ° b w E \ M * c a (² ( b ¸& b × K>' >0 u 0É �



104 05 Some Finite Extensions Of The Rational Numbers The Mathematical Gazette Cambridge Core



Calculus Cheat Sheet Docsity



Solved 6 8 2 Transform Y N U N Y Z Y Cn 1 Jucnjo Z 47 Chegg Com



Solve Using The Notation Below Only Solve If You Know How To Answer It Problem 5 Homeworklib



Analysis Lenz Uni Jena De



Arxiv Org



Asc Tuwien Ac At



Catalysts Free Full Text Ternary N S And P Doped Hollow Carbon Spheres Derived From Polyphosphazene As Pd Supports For Ethanol Oxidation Reaction Html



The Cranial Nerves Of Amphibia By Oliver Smith Strong Amphibians Amphibians No I The Cranial Nerves Of Amphibia 149 M T3 O Lt W O Lt Co J



If The Equation 1 M2 X2 2mcx C2 0 Has Equal Roots Prove That C2 1 M2 Brainly In



2



Solved Use The Figure To Find The Following A B 2 6 3 A 8 Chegg Com



Rotational Kinematics Ppt Download



Pdf A Nearly Linear Time Ptas For Explicit Fractional Packing And Covering Linear Programs Semantic Scholar



The Linear Relationships Between D Pb D Pb And Bond Lengths For Download Scientific Diagram



Misc Find Derivative A B Sin X C D Cos X Miscellaneous



2



Aimsciences Org



Solved Problem 5 Prove The Following Relations Which Are Chegg Com



Addition Of E H E N P C O S Bonds To Heterocumulenes Catalyzed By Benzimidazolin 2 Iminato Actinide Complexes Organometallics



Volcanically Driven Lacustrine Ecosystem Changes During The Carnian Pluvial Episode Late Triassic Pnas



Pdf Multiplicity Results For The Kirchhoff Type Equation Via Critical Groups



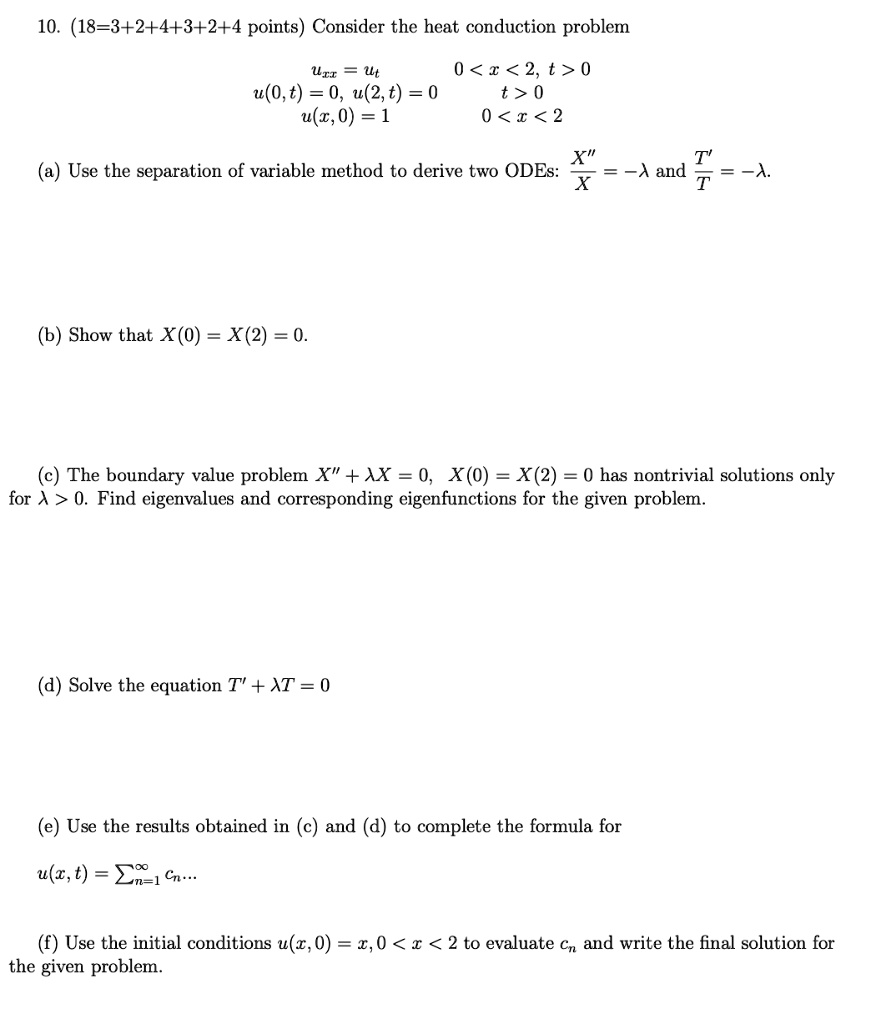
Solved 10 18 3 2 4 3 2 4 Points Consider The Heat Conduction Problem Uii 0 X 2 T 0 U 0 T 0 U 2 T 0 T 0 U Z 0 1 0 I 2



Common Derivatives Integrals



2



2



Prove That The Twisted Convolution Of F And G Lies In L 2 C N Mathematics Stack Exchange



Pdf The Heat Equation With A Singular Potential



Good Quality Equations Zippered Everyday Tote Front Back Personalized Cheapest Price Asbtubes Com



Mate X Cn Oktoberpatch Wird Jetzt Verteilt



Scheme 1 Synthetic Routes To A The Bis N C Proligands B The N C N Download Scientific Diagram



The Linear Relationships Between D Pb D Pb And Bond Lengths For Download Scientific Diagram



Sessional Papers Of The Dominion Of Canada 1911 C Ico Post Office Department 1 George V A 1910 11 O J S3 C Ti Ccr R 30covf R I Occn Ic3 S I Inxxcci I Ti 7l Cnc S S A I



Applied Sciences Free Full Text Controllable Combustion Synthesis Of Sic Nanowhiskers In A Si C N System The Role Of The Catalyst Html



Bulletin C 00 Io J Gt 2 J X J E Gt I Co Co Co Co X C O Cl Os Io Oi R U X Co Co Co



2



Solved Refer To The Following Venn Diagram 17 A 2 C 8 3 4 5 Chegg Com



Preparation Of Cr1 X Mox 2 C N Infinite Solid Solution Powders Sciencedirect



2



1



Numa Uni Linz Ac At



Www3 Risc Jku At



Mate X Cn Sicherheitspatch Juli 21 Verbesserungen



Asc Tuwien Ac At



Solved Refer To The Following Venn Diagram 2 C 8 A 3 5 4 U Chegg Com



3



A B C Rule Fractions



Emui 11 Mate X Update Fur Das Chinesische Modell Ist Da



Xian Jiaotong University Title Attribute Reduction In Decision



10 0 0 2 Canyon Cn Amr Router Login And Password



A 1 B 2 C 3 D 4 E 5 F 6 G 7 H 8 1 9 1 10 K 11 Chegg Com



Vn K R 1 R 2 U Tioa With Parameters Safety K And Damping R 1 Download Scientific Diagram



2



Asc Tuwien Ac At



Canonicity For Cubical Type Theory Springerlink



Hw 3 Solution Hw 3 Sol Ee348 Signal And Systems Nau Studocu



Chapter 8 Theory Of Npcompleteness 1 N N



Mat Univie Ac At



Math Tugraz At



Answered 1 Sketch The Following Discrete Time Bartleby



Answered Let A 1 2 3 B U And C M Bartleby



Solved Sketch The Signals Given Below A X T 2 T 3 B Chegg Com



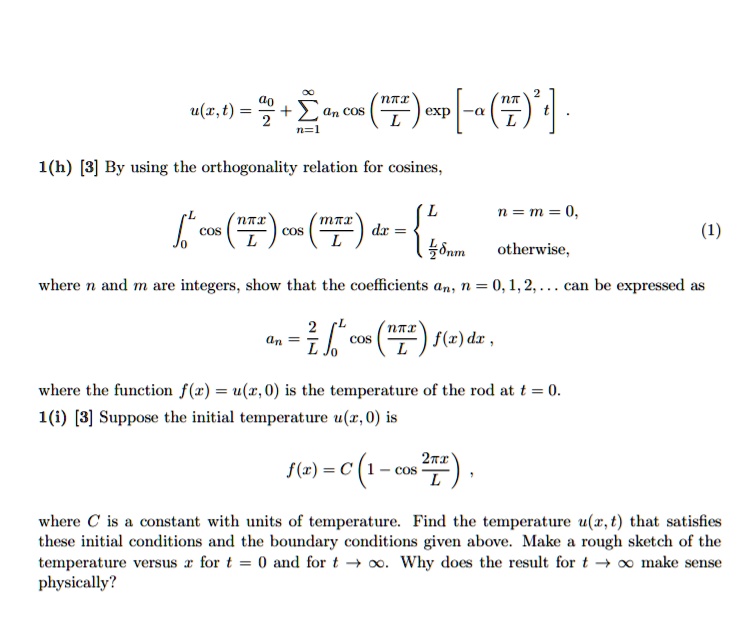
Solved T T An Cos Exp 2 1 H 3 By Using The Orthogonality Relation For Cosines N Mn Nti Mti Cos Cos Dr Eonm Otherwise Where N And In Are Integers Show



Equilibrium P N 2 For U 0 75 Ce 0 25 C X N 1 X Synthesized From U Download Scientific Diagram



Solved Question 2 5 Points Find The General Solution U T Chegg Com



2


コメント
コメントを投稿